В Кривом Роге изменилось расписание движения троллейбусов №23 и №3
С 28 июля городские троллейбусные маршруты №3 и №23 ходят по новому графику. 23-й маршрут продлили до «пл. Толстого». Об этом сообщает пресс-служба отдела транспорта и связи исполкома Криворожского горсовета.
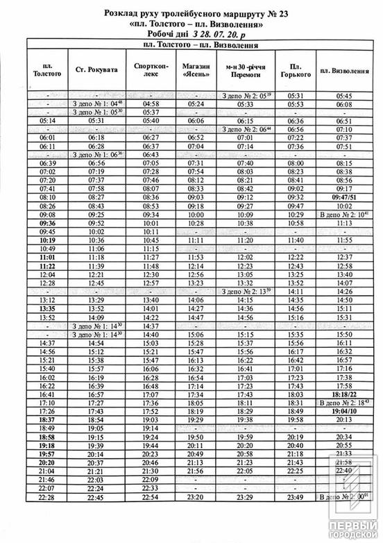
С 28 июля троллейбусный маршрут №23 продлили до «пл. Толстого». Первый троллейбус №23 выезжает с «пл. Толстого» в 05:14, в 06:51 он прибудет на «пл. Освобождения». Последний рогатый, на котором можно добраться до «пл. Освобождения», выдвигается в 21:46 и на конечную прибывает в 22:40.
В обратном направлении первый 23-й троллейбус выезжает в 04:56 и в 06:30 он прибывает на «пл. Толстого». В 22:48 отправляется последний рогатый, но его конечная остановка т – «ст. Роковатая».
В 04:37 со «ст. Роковатая» выезжает первый троллейбус №3, в 05:54 он прибывает на конечную остановку – «Троллейбусное депо №2». В 22:37 выдвигается последний рогатый, на котором можно добраться до остановки «ул. Днепровское шоссе».
В обратном направлении первый транспорт будет выходить на маршрут в 05:07, а последний – в 22:38 и прибывают на «ст. Роковатая» в 06:23 и в 23:56 соответственно.




