Стаття на цій сторінці є архівною та доступна тільки у російській версії сайту.
В Кривом Роге по выходным и праздникам троллейбусы будут курсировать по изменённому графику
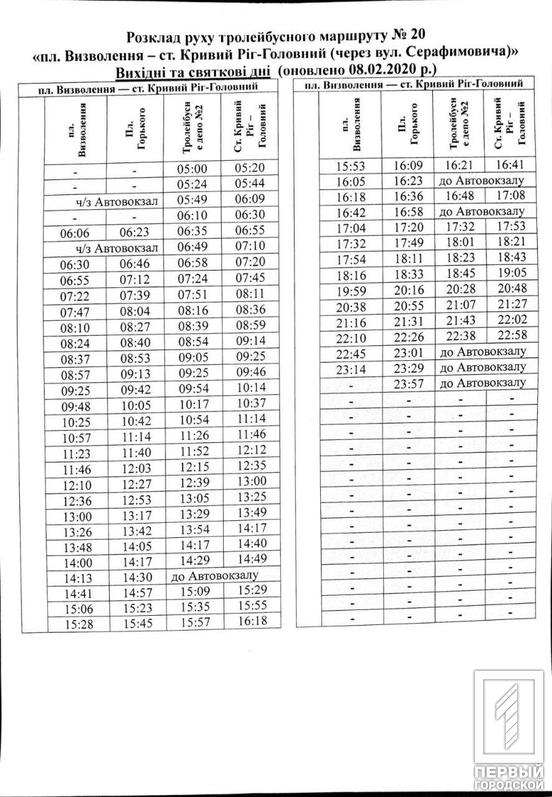
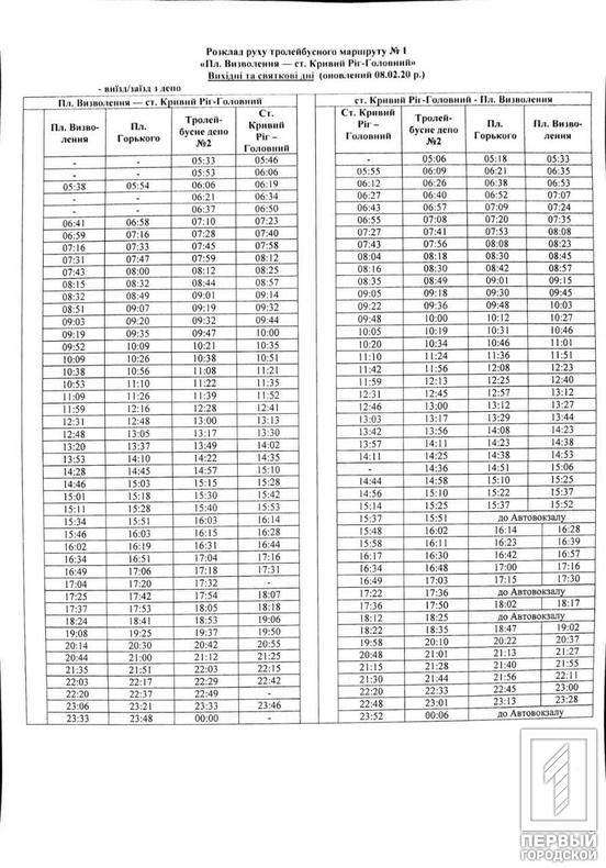
Расписание движения общественного транспорта претерпело некоторые изменения. Так, троллейбусы пяти маршрутов будут курсировать по новому графику в выходные и праздничные дни. Об этом сообщили на странице Отдела транспорта и связи исполкома Криворожского горсовета.
Правки коснулись лишь тех рейсов, которые совершаются по выходным дням и на праздники. Обновление коснулось троллейбусов №1, 2, 8, 20 и 21.






Напомним, в Кривом Роге добавили дополнительную остановку для нескольких автобусных маршрутов. Также, 11 февраля презентовали пять новых троллейбусов.
Правки коснулись лишь тех рейсов, которые совершаются по выходным дням и на праздники. Обновление коснулось троллейбусов №1, 2, 8, 20 и 21.
Напомним, в Кривом Роге добавили дополнительную остановку для нескольких автобусных маршрутов. Также, 11 февраля презентовали пять новых троллейбусов.
Напомним, в Кривом Роге добавили дополнительную остановку для нескольких автобусных маршрутов. Также, 11 февраля презентовали пять новых троллейбусов.
Популярне