В Кривом Роге изменился график движения троллейбусов №3 и №14
Троллейбусы №3 и №14 курсируют по обновлённому маршруту и графику. 3-й маршрут ранее продлили до пл. Толстого, а 14-й ходит в пределах «ООО «Производственное предприятие «Переработчик» - ул. Заводская». Об этом сообщает пресс-служба Отдела транспорта и связи исполкома Криворожского горсовета.
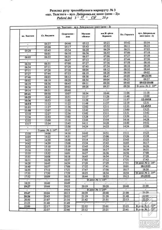
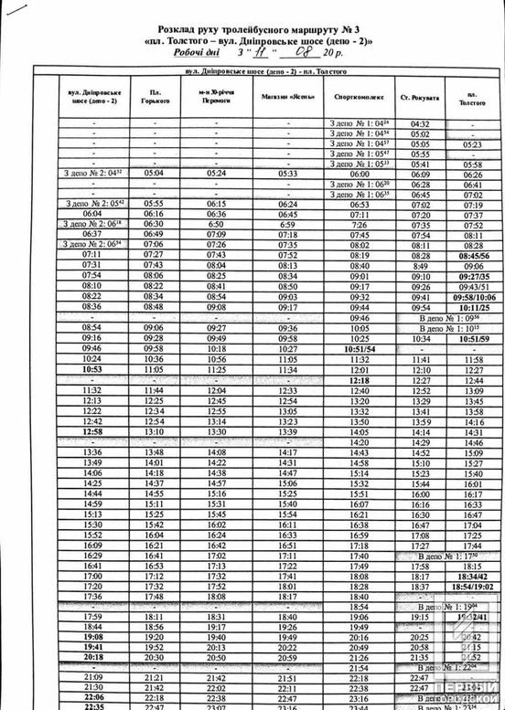
С 11 августа линия №3 пополнилась ещё двумя троллейбусами, что позволило уменьшить интервал между транспортом до 15 минут. Троллейбус №3 курсирует по маршруту «пл. Толстого – ул. Днепропетровское шоссе». Первый рогатый выезжает с ул. Днепропетровское шоссе в 04:52, а последний – в 21:09. В обратном направлении первый транспорт выдвигается в 05:28, последний – в 22:00.
Изменился маршрут троллейбуса №14. Теперь он ездит от ул. Заводская до остановки «ООО «Производственное предприятие «Переработчик». Дополнительно на маршруте работает ещё один рогатый, что сократило интервал движения до 30 минут. Первый транспорт с ул. Заводская выезжает в 05:44, а последний – в 23:09. В обратном направлении первый троллейбус выходит на маршрут в 04:51, последний – в 22:15.
Напомним, 11 августа в Кривом Роге представили очередную партию современных троллейбусов. В неё вошло семь машин оснащённых необходимым оборудованием для разных категорий пассажиров.


