Нацкомиссия подняла тарифы на производство тепловой энергии для населения – кого коснутся изменения
Нацкомиссия по регулировке экономики и коммунальных услуг утвердила новые тарифы на 2021 год для производителей тепловой энергии для населения. Изменения коснулись не всей страны, но на некоторых теплогенерирующих предприятиях тариф поднимется наполовину.
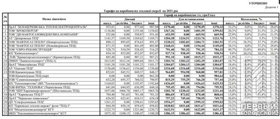
НКРЭКУ, формированием которой занимается Кабмин и Прездиент, 24 декабря пересмотрела тарифы на производство теплоэнергии для населения, бюджетных и религиозных организаций и других потребителей на 2021 для 23 ТЭЦ и когенерационных установок. Изменения вступят в силу с 2021 года.
На 2021 год подняли тарифы для 23 тепловых компаний. Основными причинами такого решения в НКРЭКУ называют уменьшение объёмов производства тепловой энергии и рост среднемесячной заработной платы штатных сотрудников.
Криворожские ТЭЦ в список не вошли. Но, например, для ООО «Евро-реконструкция» тариф повысится на 49,7%, на ООО «Нафтогаз тепло» – 34,1%. Меньше всего изменения коснулись «Днепровской ТЕЦ». Она повысит для населения тариф чуть больше чем на 5,5%.
