Інформація від Об'єднаного штабу територіальної оборони Кривого Рогу
О. Вілкул: Увага! Важлива інформація з питання сховищ в разі оголошення обстрілу або повітряної тривоги!
1. Найбільшим об'єктом укриття визначені підземні станції та підземна частина швидкісного трамвая. Трамваї перестануть працювати о 12 ночі, але станції будуть відкриті цілодобово.
2. Перелік об'єктів на промпідприємствах сьогодні вже публікувався штабом, але повторюємо його ще раз.
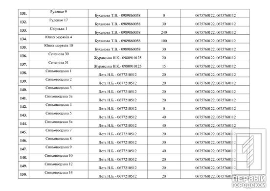
3. За сьогодні проведено додаткову перевірку інших можливих сховищ у місті і зараз викладається інформація з адресами та телефонами відповідальних, у тому числі – за доставку маломобільних криворіжців. Тут всі житлові масиви міста.
Прохання кожного знайти найближче до нього укриття і бути готовими в разі оголошення повітряної тривоги швидко туди евакуюватися.
Якщо якийсь телефон недоступний або не відповідає (можливі проблеми зі зв'язком) телефонуйте на єдину міську гарячу лінію 15-20.




























































































.jpg)
.jpg)
.jpg)
.jpg)
.jpg)
.jpg)
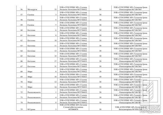
2. Перелік об'єктів на промпідприємствах сьогодні вже публікувався штабом, але повторюємо його ще раз.
3. За сьогодні проведено додаткову перевірку інших можливих сховищ у місті і зараз викладається інформація з адресами та телефонами відповідальних, у тому числі – за доставку маломобільних криворіжців. Тут всі житлові масиви міста.
Прохання кожного знайти найближче до нього укриття і бути готовими в разі оголошення повітряної тривоги швидко туди евакуюватися.
Якщо якийсь телефон недоступний або не відповідає (можливі проблеми зі зв'язком) телефонуйте на єдину міську гарячу лінію 15-20.




























































































.jpg)
.jpg)
.jpg)
.jpg)
.jpg)