Можна запропонувати назву до 19 липня: у Кривому Розі хочуть перейменувати низку вулиць
За нормами закону «Про засудження та заборону пропаганди російської імперської політики в Україні і деколонізацію топонімії» по всій території України триває процес перейменування. Дніпропетровщина не виключення.
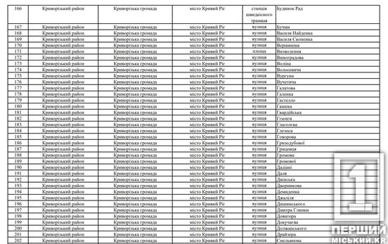
У опублікованому ось тут списку є низка позицій по Кривому Рогу та Криворізькому району. Якщо ви бажаєте втрутитися і запропонувати свою назву, тоді у вас є 2 варіанти на вибір:
- Надіслати її поштою до ДніпроОВА – проспект Олександра Поля, 1, Дніпро, 49004.
- Відправити на [email protected].
УВАГА: дедлайн – до 19 липня.
«Пропозиції у письмовому виді або електронному форматі подаються із зазначенням прізвища, імені, по батькові, контактного телефону та адреси особи, яка їх подає. Юридичні особи подають пропозиції у письмовому виді або електронному форматі із зазначенням їх найменування та місцезнаходження. Пропозиції обов’язково повинні містити обґрунтування та коротку інформаційну довідку про фізичну особу, ім’я якої пропонується присвоїти, ювілейну, святкову чи історичну дату, назву історичної події тощо, назви яких пропонується присвоїти», - йдеться у повідомленні.
Нагадаємо, раніше ми писали про те, що криворіжців запрошують на Доінкубаційну програму.
.jpg)

.jpg)

.jpg)
- Відправити на [email protected]. УВАГА: дедлайн – до 19 липня. «Пропозиції у письмовому виді або електронному форматі подаються із зазначенням прізвища, імені, по батькові, контактного телефону та адреси особи, яка їх подає. Юридичні особи подають пропозиції у письмовому виді або електронному форматі із зазначенням їх найменування та місцезнаходження. Пропозиції обов’язково повинні містити обґрунтування та коротку інформаційну довідку про фізичну особу, ім’я якої пропонується присвоїти, ювілейну, святкову чи історичну дату, назву історичної події тощо, назви яких пропонується присвоїти», - йдеться у повідомленні. Нагадаємо, раніше ми писали про те, що криворіжців запрошують на Доінкубаційну програму.